Advanced Databases (DB2)

1. Übungsblatt

Aufgabe 1: OLAP

12
Wir betrachten die folgende Tabelle shipping company:
CompanyGoodsAmountHabour
Thomsoncoffee5Hamburg
Thomsonpaper10Hamburg
Icebreakerpaper5New York
Icebreakercoal10New York
Icebreakertea10New York
Argocoal5Hamburg
Argotea10Hamburg
Argoiron5Hamburg
Geben Sie für die folgenden Anfragen Select-Statements mit Group By-Klauseln in Sql an. Bestimmen Sie außerdem jeweils das Ergebnis für obige Tabelle.
  1. Bestimmen Sie für jeden Hafen die Gesamtanzahl der dorthin gelieferten Waren.
  2. Bestimmen Sie für jedes Paar aus Hafen und Firma die Gesamtanzahl der gelieferten Waren.
100%
  1. SELECT habour, SUM( amount ) FROM `shipping company` GROUP BY habour
  2. SELECT habour, company, SUM( amount ) FROM `shipping company` GROUP BY habour, company

Anmerkung: Diese Abgabe brachte zwar nicht 100%, aber sie ist korrekt. Der Korrektor war nur unfähig, über die einzigwahre Musterlösung hinaus zu denken.

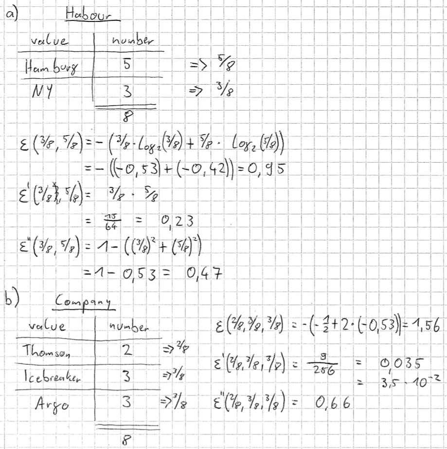
Aufgabe 2: entropyZ

12
Betrachten Sie die Tabelle shipping company aus Übung 1.
  1. Bestimmen Sie entropyHarbor(shipping company).
  2. Bestimmen Sie entropycompany(shipping company).

Berechnen Sie die Werte für entropyZ für jede der drei, in der Vorlesung vorgestellten, Funktionen ε, ε′, ε′′
100%