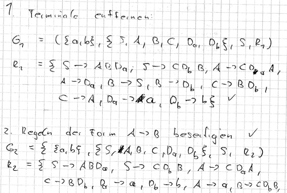
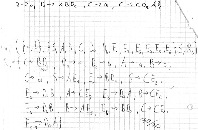
Aufgabe 1:
20
Typ-3-Grammatik versus NEA- Gehen Sie entsprechend des Beweises 4.11 vor X und konstruieren Sie eine Grammatik vom Typ 3 für die von dem folgenden NEA akzeptierte Sprache. Geben Sie die Grammatik formal als Quadrupel an. [Graph fehlt in dieser Online-Edition]
- Gehen Sie entsprechend des Beweises 4.11 vor und konstruieren Sie einen NEA für die durch folgende Grammatik erzeugte Sprache. Zeichnen Sie den NEA.
G = ({a,b},{S,A,B},S,{S → aB,S → bA,B → a,B → bB,A → b,A → aA})
100%

